Año 7. Nº 2

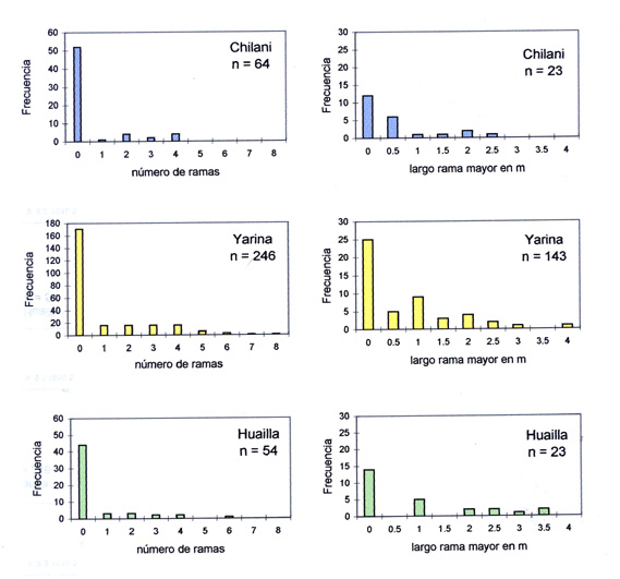
Figura 7

Distribución de frecuencia del número y largo de las ramificaciones de los individuos de Echinopsis atacamensis (Cactaceae),
en cada una de las poblaciones estudiadas (septiembre 2004).

Volver al artículo