Año 20. Nº 1


Figura 4

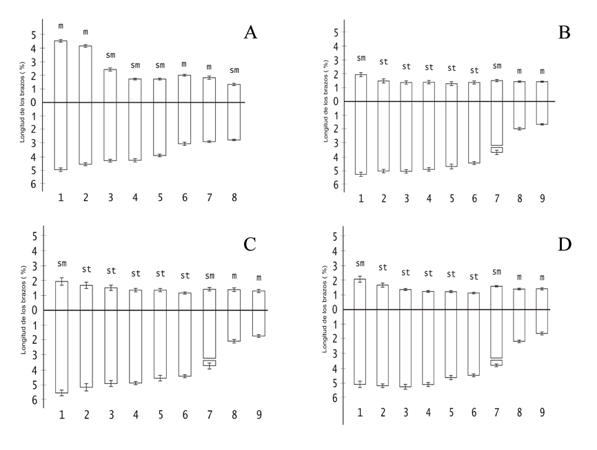
Figura 3-

Baeza, C. et al. ¿Es Famatina cisandina una Rhodophiala?.
Idiogramas de: A: Phycella cyrtanthoides; B: Famatina cisandina; C: Rhodophiala pratensis (C. Baeza 4340); D: Rhodophiala advena.

Volver al artículo